اکثر زنها هرگز دگرجنسگرا نیستند؛ آنها یا همجنسگرا هستند یا دوجنسگرا
.«اکثر زنها هرگز دگرجنسگرا نیستند؛ آنها یا همجنسگرا هستند یا دوجنسگرا» این نتیجه تحقیقاتی است که در دانشگاه اسکس انگلستان انجام شد با این که لزبینها (زنان همجنسگرا) بیشتر به زنان دیگر جذب میشوند، اکثر زنهایی که میگویند دگرجنسگرا هستند، با دیدن تصاویر ویدیویی هم از مردان و هم از زنان برهنه، تحریک شدند.
در این پژوهش که توسط دکتر خرولف ریگر Gerulf Rieger از دانشکده روانشناسی دانشگاه اسکس Essex مدیریت شده است، یک مجموعه از تصاویر ویدیویی زنان و مردان برهنه برای ۲۳۵ زن نمایش داده و پاسخهای عصبیشان ثبت شد.
۸۲٪ زنانی که در این آزمایش شرکت داشتند با هر دو جنس تحریک شدند. معیارهای این تحریکپذیری عکسالعملهایی ناخودآگاه چون گشاد شدن مردمک چشم در پاسخ به تحریکات جنسی بوده است.
۷۴٪ از زنانی که خود را دگرجنسگرا هویتیابی میکردند، در پاسخ به این آزمایش، هم در مقابل تصاویر هم جنسهای جذاب خود و هم در پاسخ به تصاویر مردان جذاب به شدت تحریک شده اند.
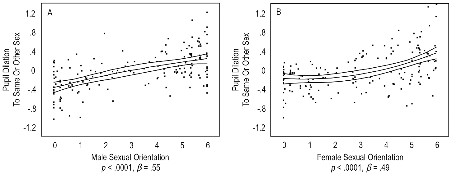
با این حال، پاسخ لزبینها به تصاویر زنان در قیاس با تصاویر مردان به شدت قویتر بوده است. دکتر ریگر میگوید: «با این که اکثریت زنها خود را دگرجنسگرا میدانند، این پژوهش و بررسی تحریکپذیری آنها به روشنی نشان میدهد که چطور زنان یا دوجنسگرا هستند و یا همجنسگرا، و نه دگرجنسگرا» نمودار A مربوط به پاسخهای مردان و نمودار B مربوط به پاسخهای زنان است.
بر محور Yعددهای مثبت نشاندهنده عکسالعمل به همجنسها و اعداد منفی نماینده عکسالعمل به جنس دیگر است. محور X هویت جنسی که فرد خود را در آن هویتیابی میکند نشان میدهد. ۰ دگرجنسگرایی مطلق، ۳ دوجنسگرایی با علاقه برابر به همجنس و جنس دیگر و ۶ همجنسگرایی مطلق است. خطوطی که میبینید ضریب همبستگی با دقت ۹۵٪، نقطهها میانگین عکس العملهای شرکتکنندگان در تست و β ضرایب استاندارد خطی هستند.
او همچنین نشان میدهد که چطور لزبینهایی که لباسهای «مردانه» میپوشند، لزوماً رفتارهایی «مردانه» ندارند: «با این که برخی از زنان همجنسگرا در تحریک رفتارهایی «مردانه» داشتند و برخی دیگر رفتارهای «مردانه» بیشتری داشتند، یکی بودن این دو گروه زنان اثبات نشد. این نشان میدهد که نوعی که زنان در اماکن عمومی ظاهر میشوند، هیچ درکی از رفتارها و ترجیح آنها در نقش جنسیشان به ما نمیدهد.» چندی پیش هم یک نظرسنجی دیگر در بریتانیا توسط یوگاو YouGov نشان داده بود که تقریباً نیمی از مردم بریتانیا خود را ۱۰۰٪ دگرجنسگرا نمیدانند و ۴۱٪ هم خود را جایی بین همجنسگرایی و دگرجنسگرایی مطلق هویتیابی میکنند. این تحقیق نشان میداد چطور افراد هر روز بیشتر به دوقطبی نبون سکسوالیته و سیالیت گرایش جنسی اعتقاد پیدا میکنند.
منبع : ایندیپندنت













































































نمایش
کلیه نظرات پس از بررسی و تایید مدیر وبسایت، بهصورت عمومی منتشر میشوند